Sommaire > Leica M > Objectifs > Objectifs Leica M anciens > Elmar-M 50 mm f/2,8 1994
Elmar-M 50 mm f/2,8 1994
(1994-2007)
mercredi 22 septembre 2004

| Objectif | ouverture/focale en mm | angle de vue | Lentilles éléments/groupes | intervalle de mise au point en m | poids en g |
|---|---|---|---|---|---|
| Elmar | f/2,8/50 | 47° | 4/3 | ∞ à 0.70 | 170 |
En 1994, Leica a proposé une nouvelle version de l’Elmar 50mm f/2.8 après la version de 1957 disparue du catalogue depuis 1972.
Cette optique est équipée des contacts 6 bits depuis juillet 2006. Les modèles antérieurs peuvent être transformés.
Caractéristiques détaillées :
- coupe
- formule optique
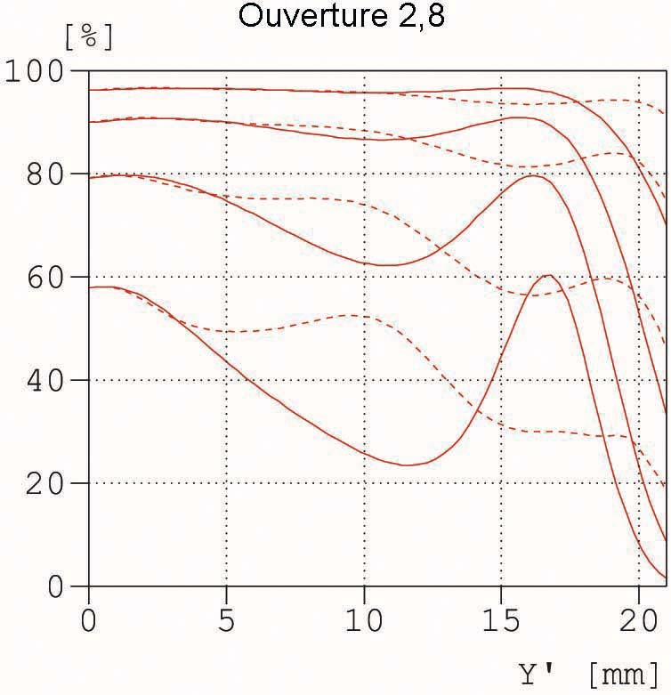
- courbes FTM (voir la légende)
- distorsion (voir la légende)
- vignettage (voir la légende)
- table des profondeurs de champ
Voir en ligne : Chercher des images faites avec l’Elmar 50mm f/2,8
