Apo-Summicron-SL 35 mm f/2 Asph.

Blowupster
Avatar de l’utilisateur
Vieux briscard
Messages : 6203
Depuis le 5 juin 2007
Genève Suisse
snoopss a écrit :
Blowupster a écrit :
Ca a l'air sympa tout ça. Vu la taille, je pense peu probable de voir une version pour M. Le M en a bien besoin.


Le M a besoin de quoi?

D'un cron 35 excellent à PO
dielcoluma
Avatar de l’utilisateur
Spécialiste
Messages : 2055
Depuis le 13 jan 2013
MAUGUIO (34)
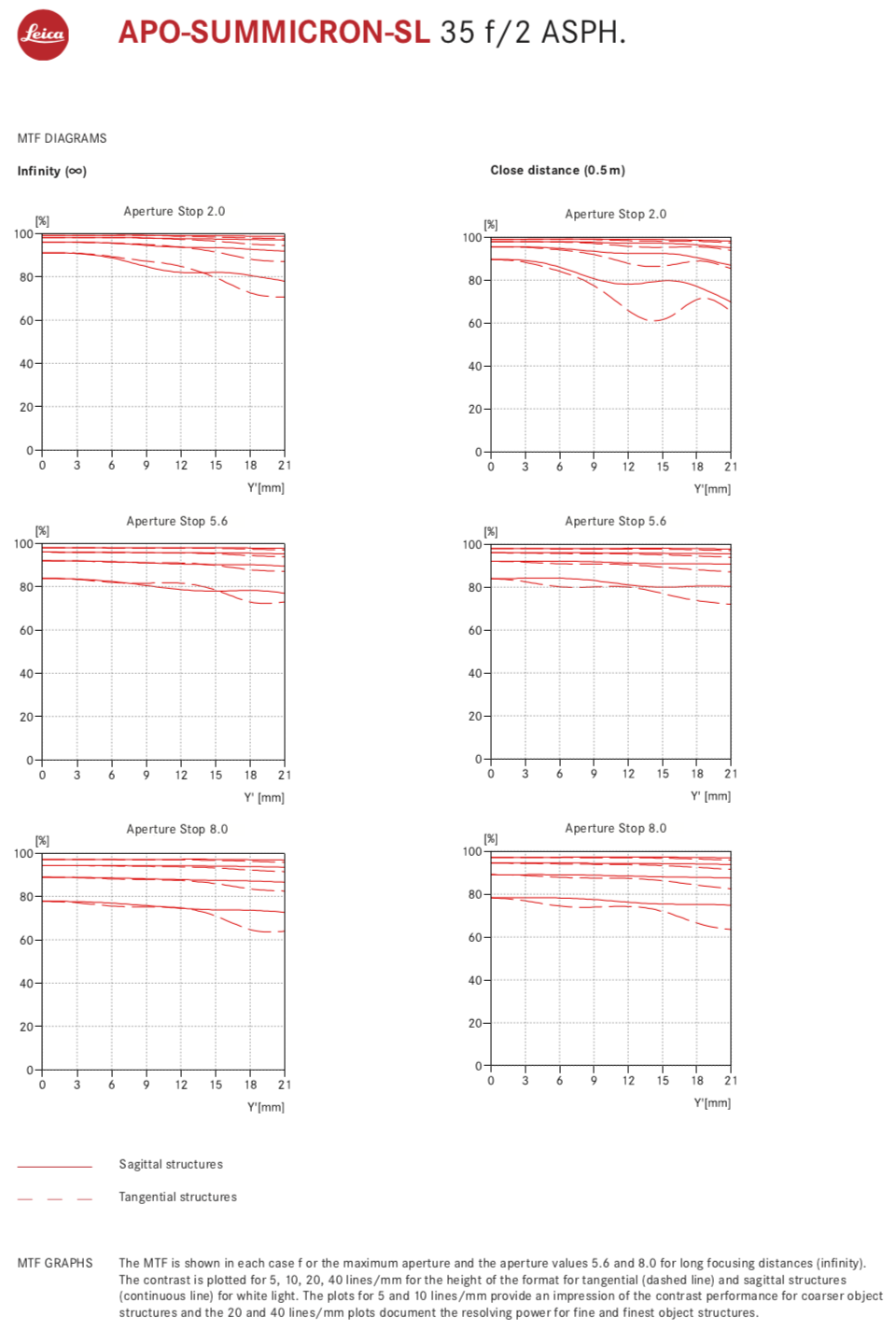
Quelqu'un a réussi à trouver la courbe FTM ?
du M240 (Cron 35AA + Lux 50 ASPH BCE + Noct 50 ASPH + Lux 75) du SL2 (Cron 21&35&90, 90-280, 24-70) du R (Lux 35 + Cron 50 + AME 100)
gautier
Avatar de l’utilisateur
Administrateur
Messages : 15368
Depuis le 21 mai 2003
Toulouse
dielcoluma a écrit :
Quelqu'un a réussi à trouver la courbe FTM ?
Voir ici
"+1" de la part de : Blowupster
dielcoluma
Avatar de l’utilisateur
Spécialiste
Messages : 2055
Depuis le 13 jan 2013
MAUGUIO (34)
gautier a écrit :
dielcoluma a écrit :
Quelqu'un a réussi à trouver la courbe FTM ?
Voir ici


Merci Gautier !
du M240 (Cron 35AA + Lux 50 ASPH BCE + Noct 50 ASPH + Lux 75) du SL2 (Cron 21&35&90, 90-280, 24-70) du R (Lux 35 + Cron 50 + AME 100)
Blowupster
Avatar de l’utilisateur
Vieux briscard
Messages : 6203
Depuis le 5 juin 2007
Genève Suisse
Outch ! Ca c'est une courbe ! Plus qu'à trouver un capteur à la hauteur !
gautier
Avatar de l’utilisateur
Administrateur
Messages : 15368
Depuis le 21 mai 2003
Toulouse
dielcoluma a écrit :
gautier a écrit :
dielcoluma a écrit :
Quelqu'un a réussi à trouver la courbe FTM ?
Voir ici


Merci Gautier !



Voir en plus grand

La fiche technique officielle est en pièce jointe
11184_Datenblatt_APO_Summicron-SL-35mm-ASPH_en.pdf
Fiche technique (en anglais)
(776.52 Kio) Téléchargé 406 fois
dielcoluma
Avatar de l’utilisateur
Spécialiste
Messages : 2055
Depuis le 13 jan 2013
MAUGUIO (34)
Quand on connait les qualités intrinsèques du Leica SL et quand on les adopte (c'est mon cas), ce 35mm apparaît comme l'objectif ultime pour un couple non moins ultime. A coupler avec le 90mm qui est tout aussi stratosphérique pour le portrait ou la photo de détails. Décidément je suis de plus en plus convaincu que Leica va marquer son histoire avec cette gamme (qui, rappelons-le est née de rien il n'y a pas si longtemps que cela).

Bravo aux ingénieurs.
du M240 (Cron 35AA + Lux 50 ASPH BCE + Noct 50 ASPH + Lux 75) du SL2 (Cron 21&35&90, 90-280, 24-70) du R (Lux 35 + Cron 50 + AME 100)
Noctilaut
    Rep : Re: Apo-Summicron-SL 35 mm f/2 Asph.
Messages : 25
Depuis le 5 fév 2019
France
hammami9 a écrit :
Noctilaut a écrit :
Il a l’air plus que bon. A quand l’apo Summilux 35 1,4 SL ?



s'il est aussi gros et lourd que le summilux 50 1.4 SL , Non merci .


Le Leica SL n’est pas bien petit non plus, il faut choisir entre gamme M et SL. 2 approches différentes mais grâce à Leica c’est cohérent.
Sony nous fait des boîtiers compacts mais des objectifs énormes pour mettre dessus ...
Blowupster
Avatar de l’utilisateur
Vieux briscard
Messages : 6203
Depuis le 5 juin 2007
Genève Suisse
Ces courbes donnent l'impression que l'on est très proche du maximum théorique et que l'ennemi à présent est la diffraction due au diaphragme qui fait effet déjà à 5.6.
Pour ceux qui font dans le tirage de grande dimension, ça risque d'ouvrir un nouvel espace pour les images au 35mm à PO !
...A supposer qu'une version 47mpix du sl soit disponible !
Noctilaut
    Re: Apo-Summicron-SL 35 mm f/2 Asph.
Messages : 25
Depuis le 5 fév 2019
France
En parlant du SL, quel avantage aura t il par rapport à un S1/S1R de Panasonic ? Sera t il un pana rebadge en Leica ? Comme pour le dlux 7 ?
hammami9
    Rep : Re: Apo-Summicron-SL 35 mm f/2 Asph.
Régulier
Messages : 297
Depuis le 24 fév 2011
Marseille
Noctilaut a écrit :
En parlant du SL, quel avantage aura t il par rapport à un S1/S1R de Panasonic ? Sera t il un pana rebadge en Leica ? Comme pour le dlux 7 ?


Bonjour

on peut supposer que le SL2 aura les mêmes caractéristiques techniques que le S1R

avec un design et une construction robuste "made in Germany" .
tenmangu81
    Re: Apo-Summicron-SL 35 mm f/2 Asph.
Avatar de l’utilisateur
Membre des Amis
Messages : 4075
Depuis le 7 jan 2012
Paris
On peut tout supposer.....
gautier
Avatar de l’utilisateur
Administrateur
Messages : 15368
Depuis le 21 mai 2003
Toulouse
Oui mais comme ici c'est un fil consacré à l'Apo-Summicron-SL 35 mm f/2 Asph., on s'abstiendra de spéculer sur le SL2 ou tout autre sujet. Merci.

Je ferai sauter les messages hors sujets. Ouvrez d'autres sujets si nécessaire.
"+1" de la part de : gégé67
ferryjeanloup
    Apo-Summicron-SL 35mm
Régulier
Messages : 181
Depuis le 29 mai 2008
Pourrières,Var
Petits essais au 35mm






Jean Loup
Noctilaut
    Re: Apo-Summicron-SL 35 mm f/2 Asph.
Messages : 25
Depuis le 5 fév 2019
France
Merci jean loup, le bokeh a l’air bien sympa mais la définition de la zone de netteté n’est pas extraordinaire sur les images (trop compressées ? Traitement soft des images ?
PrécédenteSuivante

Retourner vers Leica SL

Qui est en ligne

Utilisateurs parcourant cette section : Aucun utilisateur enregistré et 3 invités